Notice: This page requires JavaScript to function properly.
Please enable JavaScript in your browser settings or update your browser.
Learn Graph Structures and Probability | Foundations of Probabilistic Graphical Models
Practice
Projects
Quizzes & Challenges
Quizzes
Challenges
/
Probabilistic Graphical Models Essentials

bookGraph Structures and Probability

Probabilistic graphical models use graphs to represent the relationships between random variables. In these graphs, nodes represent variables, and edges represent direct probabilistic relationships between them. There are two main types of graphs you will encounter in this context: directed graphs and undirected graphs.

A directed graph (or digraph) uses arrows to show the direction of influence between variables. For example, if variable AA has an arrow pointing to variable BB, then AA is said to directly influence BB. In contrast, an undirected graph uses lines without arrows, indicating a mutual or symmetric relationship between variables, with no directionality implied.

In probabilistic modeling, the choice between directed and undirected graphs determines how you express assumptions about dependencies and conditional independence among variables. Directed graphs are typically used for Bayesian networks, while undirected graphs are used for Markov random fields.

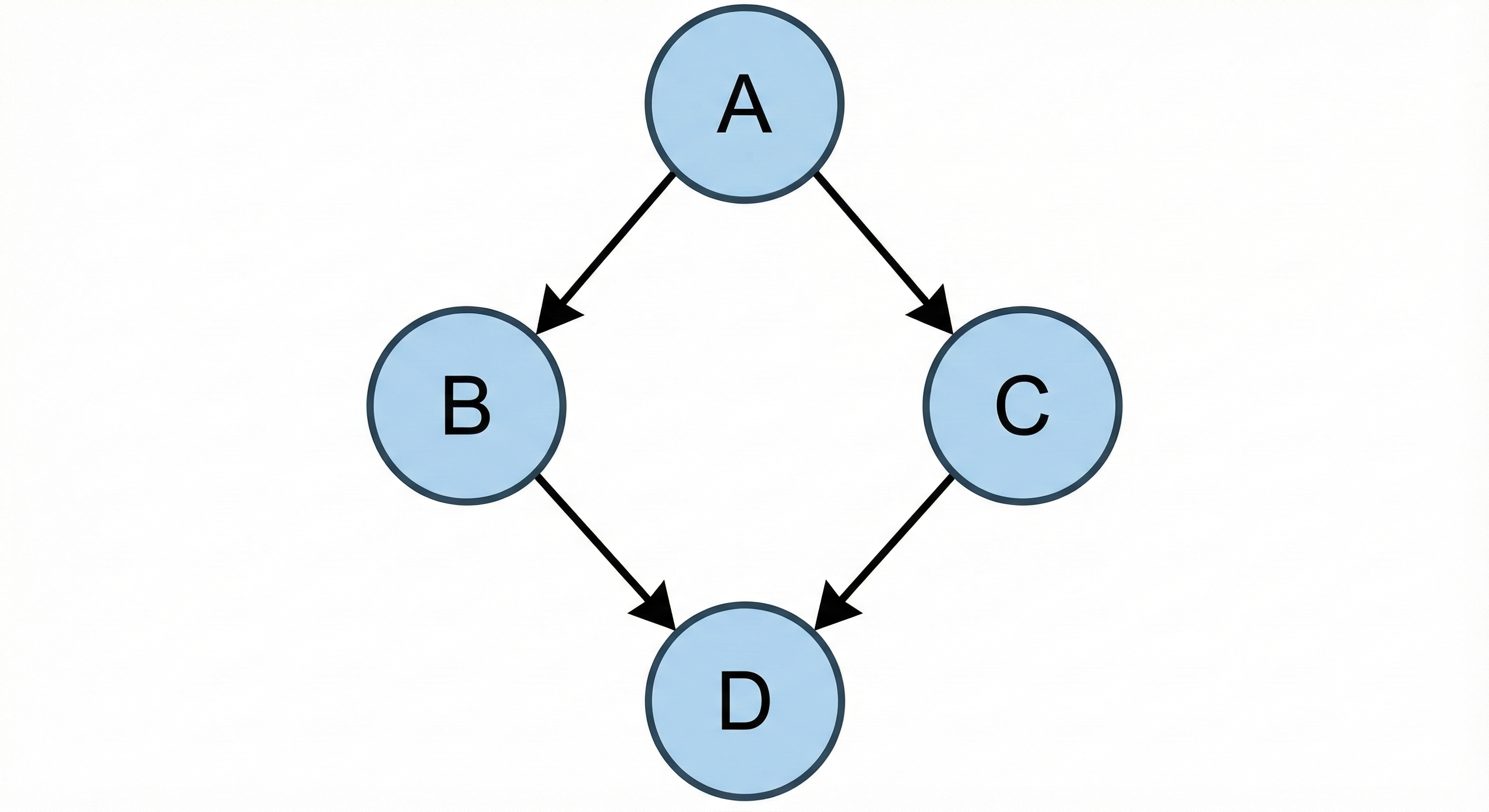
The graph structure you just saw encodes important assumptions about how variables interact. In the Python dictionary, each node lists its parent nodes β€” the variables that directly influence it. For instance, B and C both list A as their parent, meaning their values depend directly on A. Node D lists both B and C as parents, so its value depends on both of them. This structure tells you, at a glance, which variables are directly connected and which are conditionally independent given their parents. These assumptions are crucial when you build probabilistic models, as they determine how you factorize the joint probability distribution and perform efficient inference.

question mark

Which of the following statements about graph structures in probabilistic graphical models are correct

Select the correct answer

Everything was clear?

How can we improve it?

Thanks for your feedback!

SectionΒ 1. ChapterΒ 2

Ask AI

expand

Ask AI

ChatGPT

Ask anything or try one of the suggested questions to begin our chat

bookGraph Structures and Probability

Swipe to show menu

Probabilistic graphical models use graphs to represent the relationships between random variables. In these graphs, nodes represent variables, and edges represent direct probabilistic relationships between them. There are two main types of graphs you will encounter in this context: directed graphs and undirected graphs.

A directed graph (or digraph) uses arrows to show the direction of influence between variables. For example, if variable AA has an arrow pointing to variable BB, then AA is said to directly influence BB. In contrast, an undirected graph uses lines without arrows, indicating a mutual or symmetric relationship between variables, with no directionality implied.

In probabilistic modeling, the choice between directed and undirected graphs determines how you express assumptions about dependencies and conditional independence among variables. Directed graphs are typically used for Bayesian networks, while undirected graphs are used for Markov random fields.

The graph structure you just saw encodes important assumptions about how variables interact. In the Python dictionary, each node lists its parent nodes β€” the variables that directly influence it. For instance, B and C both list A as their parent, meaning their values depend directly on A. Node D lists both B and C as parents, so its value depends on both of them. This structure tells you, at a glance, which variables are directly connected and which are conditionally independent given their parents. These assumptions are crucial when you build probabilistic models, as they determine how you factorize the joint probability distribution and perform efficient inference.

question mark

Which of the following statements about graph structures in probabilistic graphical models are correct

Select the correct answer

Everything was clear?

How can we improve it?

Thanks for your feedback!

SectionΒ 1. ChapterΒ 2
some-alt